机械工程基础知识点汇总
a+d≤b+c
a+d>b
双曲柄机构
曲柄摇杆机构
双摇杆机构
双摇杆机构
最短杆固定
与最短杆相邻的杆固定
与最短杆相对的杆固定
任意杆固定
注:a—最短杆长度;d—最长杆长度;b、c—其余两杆长度。 五、曲柄滑块机构 曲柄滑块机构是由曲柄、连杆、滑块及机架组成的另一种平面连杆机构。 六、凸轮机构 (一) 按凸轮的形状分:盘形凸轮机构,移动凸轮机构,圆柱凸轮机构。 (二)按从动杆的型式分:尖顶从动杆凸轮机构,滚子从动杆凸轮机构,平底从动杆凸轮机构。 七、螺旋机构 螺旋机构的基本工作特性是将回转运动变为直线移动。 螺纹的导程和升角:螺纹的导程L与螺距P及线数n的关系是 L = nP 根据从动件运动状况的不同,螺旋机构有单速式、差速式和增速式三种基本型式。
第二章 常用机械传动装置
机械传动装置的主要功用是将一根轴的旋转运动和动力传给另一根轴,并且可以改变转速的大小和转动的方向。常用的机械传动装置有带传动、链传动、齿轮传动和蜗杆传动等。
一、带传动
带传动的工作原理:带传动是用挠性传动带做中间体而靠摩擦力工作的一种传动。
带传动的速比计算公式为:i = n1/n2 =D2/D1
主要失效形式为打滑和疲劳断裂。
在进行V带传动计算和选用时,可先按下列公式计算基准长度Ld的近似值Ld’ :
Ld’ =2α+p(D1+D2)/2+(D1-D2)/ 4α
式中α为主、从二带轮的中心距;D1、D2为主、从二带轮的基准直径。
二、链传动
链传动的速比为i = n1 / n2 = z2 / z1
三、齿轮传动
齿轮传动的速比为i = n1 / n2 = z2 / z1 = D2 / D1
一对齿轮传动时,通过两轮中心连线上的节点P 的二切圆在作无滑动的相互对滚运动,此二圆称为节圆。
齿轮传动可分为三大类:两轴平行的齿轮传动、两轴相交的齿轮传动以及两轴相错的齿轮传动。
编辑切换为居中
添加图片注释,不超过 140 字(可选)
四、渐开线
(一)渐开线的形成:当一直线AB 沿半径为rb 的圆作纯滚动时,此直线上任意一点K 的轨迹CD 称为该圆的渐开线。
(二)渐开线的性质
1.发生线在基圆上滚过的线段长度NK,等于基圆上被滚过的一段弧长NC,即NK=NC;
2.渐开线上任意一点的法线必切于基圆;
3.渐开线的形状决定于基圆的大小;
4.基圆内无渐开线。
五、直齿圆柱齿轮传动
(一)齿顶圆直径以 da 表示,齿根圆 直径以 df 表示。
(二)分度圆是一个理论圆,无法直接测量,其直径以d 表示。
(三)模数以m 表示,定义为m = p /p
(四)通常说的压力角,指的是分度圆上的压力角,以 a 表示。
(五)分度圆上的压力角规定为标准值,我国规定标准压力角为20°和15°。
(六)分度圆概念:齿轮上压力角和模数均为标准值的圆称为分度圆。
(七)标准直齿圆柱齿轮的啮合传动,为了能正确啮合和连续传动,必须满足以下几个条件:
1.正确啮合的条件:两齿轮的模数、压力角必须相等;
2.续传动的条件:在一对轮齿即将脱离啮合时,后一对轮齿必须进入啮合;
3.避免根切和干涉的条件:齿轮的齿数必须大于或等于17。
六、蜗杆传动
主要特点:速比大、传动平稳、有自锁作用、效率低 。
第三章 轮系
一、轮系的功用
获得大的传动速比、作较远距离的传动、得到多种传动速比、改变从动轴的转向、转动的合成和分解。
二、轮系的分类
定轴轮系(或称普通轮系)、周转轮系。
三、定轴轮系速比
i = n主 / n从 = (-1)n 各从动轮齿数的乘积 / 各主动轮齿数的乘积
四、周转轮系
(一)转化机构的速比:
i 13H = n1H / n3H =(n1-nH )/ (n3-nH )= -z2z3 / z1z2 = -z3 /z1
(二)周转轮系速比的一般计算公示:
设以1和k代表周转轮系中的两个太阳轮,以H代表系杆,其中轮1为主动轮,则其转化机构的速比i 1kH 为
i 1kH = (n1-nH )/ (nk-nH )= (-1)n (z2 … zk)/(z1 …zk-1)
(三)周转轮系的结构虽然很简单,但可获得很大的传动速比。
(四)差动轮系可将两个独立的转动合成为一个转动的特点;差动轮系能将一个转动分解成为两个独立的转动。
添加图片注释,不超过 140 字(可选)
第四章 轴系零部件
在机器中,轴及与它直接关联的一系列零部件,如轴承、联轴器、离合器、制动器及键等,统称为轴系零部件。
一、轴
二、轴承:
轴承分为滑动轴承和滚动轴承两大类。
三、联轴器、离合器、制动器
第五章 液压与气压传动
一、液压传动的原理和组成
液压传动是以液体作为工作介质来传动的一种传动方式,它依靠密封容积的变化传递运动,依靠液体内部的压力(由外界负载所引起)传递动力。
二、液压传动的优缺点
三、液压传动的两个基本参数——压力、流量
(一)压力
P = F /A
式中,力 F 的单位是N,面积 A 的单位是 m2,压力 p 的单位是Pa。
(二)流量
1.单位时间内流过通道某一截面的液体体积称为流量。若在时间t内流过的液体体积为V ,则流量为 q =V /t
流量的单位是 m3/s、cm3/s 或 L/min,它们的换算关系是
1 m3/s =106 cm3/s =6×104 L/min
2.流过的液体体积为V = Al ,流量为 q = V /t = Al /t = Av ,即
V = q /A
式中,v为活塞运动的速度,q为输入液压缸的流量,A为活塞的有效作用面积。
四、液压传动用油的选择
第六章 液压泵、液压马达和液压缸
编辑
添加图片注释,不超过 140 字(可选)
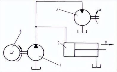
在液压系统中,液压泵、液压马达和液压缸都是能量转换装置。右图为用液压图形符号表示的泵、马达和缸三者的作用与关系。
一、液压泵
液压泵是通过密封容积的变化来实现吸油和压油的。
常用的液压泵有齿轮式、叶片式和柱塞式三种。
二、单作用式叶片泵
编辑
添加图片注释,不超过 140 字(可选)
(一)单作用式叶片泵的流量可调,是变量泵。
(二)具有特殊性能的单作用叶片泵:限压式变量叶片泵的工作原理与特性曲线
1.工作原理:当工作压力增大到预先调定的数值以后,泵的流量便自动随压力增大而显著地减小;
2.特性曲线:见右图。
三、液压马达
(一)液压马达的类型:齿轮式、叶片式和柱塞式。
(二)液压马达的排量:液压马达的每转排油量称为排量。
(三)摆动液压马达
第七章 液压控制阀
编辑
添加图片注释,不超过 140 字(可选)
编辑切换为居中
添加图片注释,不超过 140 字(可选)
编辑切换为居中
添加图片注释,不超过 140 字(可选)
流量阀用于控制液压系统中液体的流量。常用的流量阀有节流阀、调速阀等
流量阀是液压系统中的调速元件,其调速原理是依靠改变阀口的通流截面积来控制液体的流量,以调节执行机构 (液压缸或液压马达) 的运动速度。
(一)节流阀
节流阀流量特性方程
环境,是指影响人类生存和发展的各种天然的和经过人工改造的自然因素的总体。
q= CAT (Δp)j
(二)规划环境影响评价的技术依据和基本内容节流阀符号:
1.当阀口形状、结构尺寸及油液性质、节流阀前后的压力差一定(C、、ΔP一定)时,只要改变阀的通流截面积,便可调节流量。
2.当阀口通流截面积调整好以后(一定),若阀的前后压力差或油的粘度发生变化(ΔP或C值变化),通过节流阀的流量也要发生变化。
1. 规划环境影响评价的报审(二)调速阀
对于运动平稳性要求较高的液压系统,通常采用调速阀。
《中华人民共和国环境保护法》和其他相关法律还规定:“建设项目防治污染的设施,必须与主体工程同时设计,同时施工,同时投产使用(简称“三同时”)。防治污染的设施必须经原审批环境影响报告书的环境保护行政部门验收合格后,该建设项目方可投入生产或者使用。”“三同时”制度和建设项目竣工环境保护验收是对环境影响评价的延续,从广义上讲,也属于环境影响评价范畴。调速阀是由减压阀和节流阀串联而成的组合阀。
(3)是否符合区域、流域规划和城市总体规划。调速阀详细符号:
添加图片注释,不超过 140 字(可选)
调速阀简化符号:
编辑
添加图片注释,不超过 140 字(可选)
(3)公众对规划实施所产生的环境影响的意见;第八章 液压辅助元件
(4)列出辨识与分析危险、有害因素的依据,阐述辨识与分析危险、有害因素的过程。液压辅助元件也是液压系统的基本组成部分之一。
常用的一些辅助元件:过滤器、蓄能器、压力计、压力计开关、油管、油管接头、阀类连接块和油箱等。
第九章 液压基本回路
2)应用环境质量标准时,应结合环境功能区和环境保护目标进行分级。
一、压力控制回路
常用的压力控制回路有调压回路,增压回路,保压回路,卸荷回路。
2.环境影响评价工作等级的划分依据二、速度控制回路
调速回路有节流调速,容积调速,容积节流调速三种。
3.评估环境影响的价值(最重要的一步):采用环境经济学的环境经济损益分析方法,对量化后的环境功能损害后果进行货币化估价,即对建设项目的环境费用或环境效益进行估价。(一)节流调速回路:按照流量阀安装位置的不同,有进油路节流调速、回油路节流调速和旁油路节流调速三种。
(二)容积调速回路:容积调速回路分为变量泵调速回路、变量马达调速回路和变量泵-变量马达调速回路三种。
(三)容积节流调速回路:用限压式变量叶片泵和调速阀的调速回路
「修机」关于挖掘机的几点基础知识,你都get到了吗?
前言
对于很多机友来说,开挖掘机就像拿筷子一样,并不难上手,但很多人都是知其然而不知其所以然。接下来小编跟大家一起来学习一下关于挖掘机的几点基础知识,让机友们如虎添翼!
01
挖机用途及功能介绍
挖掘机的应用范围十分广泛,通过换装不同的附属装置,如液压锤、液压剪、推土铲、扒斗等可以完成破碎、拆卸、抓取等多种作业。
1.反铲作业
反铲作业一般在地面以下进行,主要以挖掘为主。
(1)使用斗杆和铲斗共同进行挖掘。当铲斗液压缸与连杆、斗杆液压缸与斗杆都成90°角时,可获得最大的挖掘力和挖掘效率。
(2)尽量使斗齿方向与挖掘方向保持一致,减少挖掘阻力和斗齿磨损量。
2.正铲作业
正铲作业一般在地面以上进行,铲斗的转动方式与反铲时相反。使用斗杆液压缸来刮削地面。正铲时的挖掘力小于反铲时的挖掘力。
3.挖沟作业
通过配置与沟的宽度相对应的铲斗,使两侧履带与要挖沟的边线平行,可高效地进行挖沟作业。挖宽沟时,先挖两侧,最后挖去中间部分。
02
挖掘机橡胶履带的特点
橡胶履带具有质量轻、振动小、噪声低、附着力大、地面适应性好、不损坏路面等特点;尤其适合在城市道路施工。
橡胶履带和钢履带的基本结构是一样的,通常也由导向轮、托轮、驱动轮、支匿轮、履带和行走架等部分组成,其主要区别和特点是:
(1)橡胶履带是用橡胶模压而成的整条连续履带,心部用织物和多条钢丝绳加强,外侧有履刺,内侧有传动件。钢制的传动件镶嵌在硫化橡胶带里。橡胶履带的主要参数是节距、节数、履带宽度、花纹样式、预埋金属件样式等。
(2)驱动轮安装在行走减速器上,用来卷绕履带,以保证械行驶作业。橡胶履带用的驱动轮采用凸齿齿形,节距为128mm。履带工作过程中有弯曲应力,会引起履疲劳损坏,故驱动轮径不易过小。
(3)支重轮、托轮和导向轮分跨在履带齿的两边,压在橡胶平面上,为防止轮缘切割和严重挤压橡胶而损伤,故轮缘较宽,由于履齿较高,故轮体较大。
03
如何提高挖机的工作效率
提高挖掘机的工作效率可以从以下几个方面进行:
(1)正确进行施工组织设计。与挖掘机配合的自卸车数量及承载能力应满足挖掘机生产能力的要求,且自卸车的容量应为挖掘机铲斗容量的整数倍。同时尽量采用双放装车法,使挖掘机装满一辆,紧接着又装下一辆,由于两辆自卸车分别停放在挖掘机铲斗卸土所能及的圆弧线上,这样铲斗顺转装满一车,反转又可装满另一车,从而提高装车效率。
(2)挖掘机工作现场的合理布置:在施工中应事先拟定好自卸车的行驶路线,清除不必要的上坡道。对于挖掘机的各掘进道,必须要做到各有一条空车回程道,以免自卸车进出时相互干扰。各运行道应保持良好善,以利自卸车运行。
(3)挖掘机驾驶员应具有熟练的操作技术,并尽量采用复合操作,以缩短挖掘机作业循环时间。
(4)挖掘机的技术状况对其生产率有较大影响,特别是发动机的动力性。此外,斗齿磨损时铲斗切削阻力将增加60%-90%,因此磨钝的斗齿应予以更换。
相关问答
工程机械运用技术有哪些专业知识?
工程机械运用技术专业主要涉及以下几个方面的专业知识:1.机械设计制造基础:学习机械设计制造的基本原理和方法,包括力学、材料力学、机械原理、机械零件等基...
机械维修工要掌握什么技能?
机械维修工要掌握,机械识图、机械原理、铆焊工艺、金属工艺学,机电设备安装、维修和管理的基本知识,从事机电设备的安装、调试、保养、维修和设备管理等。机...
工程机械保险属于什么险种?-保险知识问答-我爱卡
[回答]工程机械保险属于建筑工程一切险和安装工程一切险,是一种综合性机械设备保险。工程机械保险其主险责任同财产综合险承保责任相同,附加险包括雇主责...
请问一下工程机械附加第三者责任险是怎样的_法律问答—华律网
[回答]第一条投保人只有在投保了《工程机械设备综合保险》(以下简称为“主险”)后,方可投保《附加碰撞、倾覆保险》(以下简称为“本附加险”)。第二条本...
压路机常见的问题有哪些呢
压路机配备有专门的有电启动装备,在天气比较寒冷或者温度较低的情况下,使用的电打火优势就显得比较明显,我们在使用的过程中,常见问题一般有一下情...
工程机械与维修专业怎么样?
培养具备本专业必须的基础知识和基本技能,能够从事工程机械的安装、使用、维修、技术管理和销售及售后服务工作的高级技能型人才。毕业后可获得相应的大专学...
长安大学工程机械学院怎么样?设有哪些专业?申请方
[回答]~接下来我为大家简单介绍一下我们长安大学的工程机械学院开设的专业以及研究情况专业设置:机械设计制造及其自动化-本科、机械电子工程-本科、工业...
并集合长年工程机械设计与制造的经验基础上,成功研制_作业帮
[最佳回答]aisbGroupR&D,manufacturing,andsalesofnewconstructionmachineryandequipmentmanufactu...
什么是基坑支护,什么是基坑支护知识?盛达工程机械
对场地施工的边坡支护的检测内容主要包括:配合比试验检验、面层的抗压强度试验、面层厚度检查等,其中主要是喷射混凝土的厚度及强度。白...白叶种...
工程机械和汽车发生道路交通事故责任如何认定_法律问答—华律网
[回答]1、电动车驾驶人就此事故不应承担责任,因为机动车靠边停车是借用非机动车道,借道方在不妨碍正常通行的电动车通行的情况下才能靠边停车,机动车靠边...
